●총선 5개 지역에서 동전 1,454개를 하늘로 던져 1,454개 모두가 다 앞면만 나오는 현상
[미디어한국] 서울 광진구 구의3동 투표소의 CCTV가리기 외 전국의 개표소에서 벌어진 은밀한 그들의 4.10 총선의 개표 결과다.
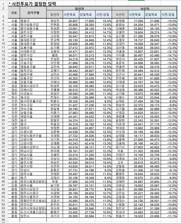
총선 5개 지역에서 동전 1,454개를 하늘로 던져 1,454개 모두가 다 앞면만 나오는 현상이 바로 21세기 대한민국에서 일어나고 있었다.(전국 사전투표 장소 1454개소)
전 세계의 통계학 교과서를 대한민국에서 다시 써야 한다.
서울시. 사전투표 425:0으로 민주당 승
부산시. 사전투표 192:0으로 민주당 승
경기도.사전투표 599:0으로 민주당 승
인천시.사전투표 156:0으로 민주당 승
대전시. 사전투표 82 :0으로 민주당 승
5개 사전투표 1454:0으로 민주당의 모든 지역 승리다.
한편 민경욱 전 의원의 17일 페이스북에는
당일 투표에 이기고도 사전투표로 떨어진 국힘당 후보자 명단이 발표가 있었다.
또는, 자기가 당선자였다는 사실도 모르는 멍청한 국힘당 후보자 명단.
또는, 자기가 당선됐다는 걸 알면서도 선거무효소송을 제기할 배짱이 없는 국힘당 후보자 명단.
또는, 자기가 당선됐다는 걸 알면서도 지난 4년간 부정선거 주장하는 사람들을 음모론자로 욕하면서 똑똑한 척 해왔기 때문에 문제 제기도 못하고 이불킥하는 쌤통 국힘당 후보자 명단.
한결같이 주변 눈치만 보고 진실을 밝힐 용기를 내지 못하는 비겁한 국힘당 후보자 명단!
최재형, 윤희숙, 이혜훈, 김병민, 오신환, 김영우, 김경진, 김선동, 이용호, 구자룡, 박민식, 호준석, 박용찬, 장진영, 김근식, 전주혜, 이재영, 강기윤, 박성호, 고기철, 서병수, 심재돈, 정승연, 김기흥, 신재경, 원희룡, 윤창현, 이은권, 박경호, 이수정, 심재철, 김종혁, 김용태, 최기식, 이용, 이창근, 이원모, 고석, 강철호, 김학용, 황명주, 권명호, 김혜란, 김완섭, 서승우, 김진모, 김동원, 경대수, 신범철, 정진석, 박성규, 정용선 (52명)
전원 국민의힘 후보들이고, 비겁하게 누구 하나 이의 제기를 하지 못하고 있다.
특히 이 가운데 28명은 정확히 같은 비율로 빠지고 더해졌다.
- [정치] 오 그대여 돌아와요 한동훈...국회앞 줄줄이 이어지는 화환!
- [서울시민문학상-삶의 詩] 정연석 시인. 인류 최고의 말 "어머니"를 외치다
- [포토] 어제의 범죄를 벌하지 앓으면 그것은 내일의 범죄에 용기를 주는 것
- [포토] 트럼프. 네사라 게사라 공표?...인류 더 이상 가난이 없는 인류
- [시민의 소리] 부정선거. 자유 대한민국 주인인 국민은 대통령에게 명령...국민 저항권을 발동
- [문화 포커스] 단군기원 4357년 음력 어천절 대제전 열려...23일 화요일(음력3월15일) 오전 11시, 서울 종로구 사직단에서
- [서울시민문학상-詩人 등단 작] 장종진 시인. 운명. 황혼의 그림자. 완행열차를 선정
- [서울시민문학상-삶의 詩] 노병순 시인. 칠순 꽃 잔치. 화답. 지금 우리는
- [사설] 윤석열 대통령, 이재명을?...범단 X목과의 만남은 정의의 굴복인가?
- [포토뉴스] 472세 푸조나무. 부산 수영구 사적공원